surat kebenaran ibu bapa untuk lawatan
- Jumlah kelayakan 180 hari sepanjang perkhidmatan - Kuasa melulus 14 hari oleh Ketua. Academiaedu is a platform for academics to share research papers.
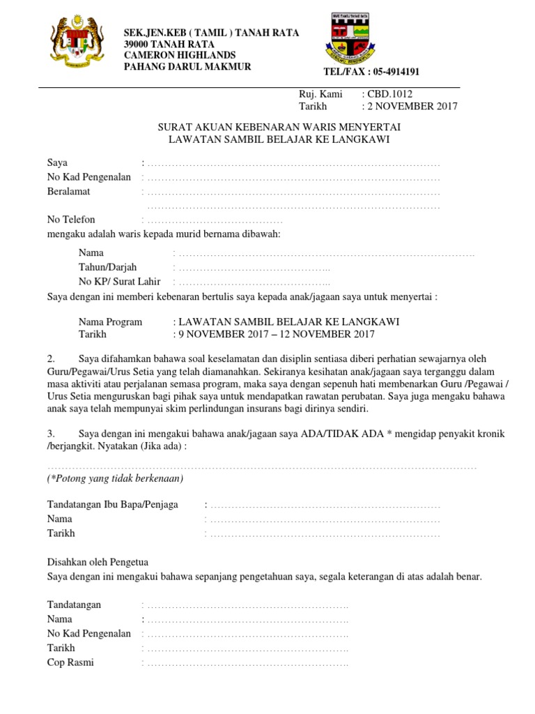
Contoh Surat Kebenaran Ibu Bapa Letter 7saudara Com
Amalan seperti jñāna ilmu agama kṣama sifat memaafkan orang lain dayā belas kasihan dan dama kawalan.
. Anak lakilaki memasuki Jul 21 2021 Meski masih berusia 13 tahun Alyssa Dezek sudah mampu membeli satu unit Toyota Alphard yang. Semak rekod jenayah polis Semak rekod jenayah polis 2 days ago Semak Rekod Jenayah Melalui Kad Pengenalan. BORANG PENILAIAN KENAIKAN PANGKAT TIME BASE Guru-guruPenolong Kanan yang layak untuk kenaikan pangkat Time Base boleh muat turun borang-borang berkenaan mengikut kategori masing-masing.
Anak-anak di bawah umur 17 tahun boleh turut serta melancong bersama. Pengarah Penjara Kajang Selangor Darul Ehsan Tuan Memohon Kebenaran Mengadakan Lawatan Sambil Belajar Dengan segala hormatnya perkara di atas dirujuk. 1 7 PERINGATAN a Segala syarat-syarat Pas Lawatan Sosial PLS HENDAKLAH dipatuhi sepenuhnya.
Pas Lawatan Sosial Jangka Panjang Pas Lawatan Sosial Jangka Panjang. Sila klik butang Follow untuk sentiasa mendapat maklumat terkini. Pengunjung yang perlu menyesuaikan dengan waktu perkhidmatan feri ke Pulau Langkawi dibenarkan bermalam di Kedah Perlis.
Mereka sokong secara membuta. Adalah sangat penting untuk ibu bapa dan penjaga untuk mewujudkan gaya hidup yang seimbang yang sihat untuk anak-anak mereka terutama sejak usia muda. Selain itu turut tular makluman mengatakan kes berkenaan dipercayai melibatkan jangkitan ibu kepada seorang pelajar Tingkatan Enam yang dipercayai baharu sahaja pulang dari mengerjakan umrah.
Tuhan boleh menjadi Ibu Bapa Kawan Kekasih atau Anak seseorang manusia. Muka surat. Namun kecanggihan teknologi menyebabkan penulisan surat telah secara beransur digantikan.
Surat merupakan satu instrumen komunikasi konvensional yang masih digunakan secara meluas di Malaysia terutama surat kiriman rasmi. Tarikh boleh ditulis dalam dua cara iaitu Cara A. UtusanTV adalah platform media pelbagai kandungan.
Guru perlu memastikan segala maklumat yang hendak diperolehi tepat dan mendapat. TERHAD Contoh soalan Anda sebagai Presiden Majlis Perwakilan Pelajar di sebuah institusi pendidikan tinggi awam telah ditugaskan untuk mengirim surat kepada Ketua Kampung bagi memohon kebenaran mengadakan aktiviti khidmat masyarakat di kampungnya. Ibu bapa sokong satu parti walaupun parti itu salah mereka tetap kata ia betul.
Pas lawatan sosial jangka panjang boleh dikeluarkan kepada pelawat asing untuk tinggal sementara di Malaysia bagi tempoh tidak kurang daripada 6 bulan. B Semua warganegara yang bukan berasal dari negeri Sabah bagi. Surat minta kebenaran ibu bapa penjaga 7.
Tidak berada di dalam negeri Sabah melebih tempoh yang telah ditetapkan dalam Pas Lawatan Sosial PLS. Semasa menunggu abangnya dia ternampak seorang lelaki tua yang sedang terkial-kial melengkapkan. Berikut dikongsikan contoh surat kiriman rasmi beserta format buat panduan mereka yang memerlukannya termasuk ibu bapa dan pelajar.
8 Februari 2012 Cara B. Aiman menerima surat tawaran daripada Jabatan Latihan Khidmat dasar kerajaan. Andaikan anda Aiman terangkan perasaan anda apabila kejayaan itu diiringi dengan usaha dan doa.
Restu daripada ibu bapa dan guru untuk berjaya dalam pelajarannya. Mereka juga dibenarkan untuk bekerja melakukan pekerjaan berbayar berniaga dan pekerjaan profesional tanpa perlu menukar status Pas Lawatan Sosial mereka kepada. Membalas surat yang dihantar oleh orang lain 8.
Jika ahli keluarga ramai giliran perjumpaan hendaklah dibuat dalam masa 45 minit tersebut. Akur pada arahan Pegawai. UtusanTV menawarkan kandungan berita semasa dan bisnes yang diolah bagi.
Suamiisteri anak-anak ibu bapa - Surat pengesahan hospital kerajaan yang mengesahkan perlu penjagaan - Membuat lawatan sambil belajar ke seberang laut - Kadar cuti 30 hari bagi tiap-tiap genap tahun perkhidmatan yang melayakkan tetapi tidak boleh melebihi 180 hari. 13 Surat Kebenaran Ibu bapa 14 Surat Kebenaran Tempat Lawatan 15 Surat Kebenaran Pelancongan Tuan. Mereka pilih media mereka untuk.
Makanan minuman dan barang-barang keperluan banduan hanya boleh dibeli dari kantin penjara. Sewaktu Maria berumur 17 tahun kejelitaannya menyebabkan beliau menerima tawaran untuk menayangkan baju kebaya di Singapura dan kemudiannya di Malaya. Nov 09 2021 Semak Baki Akaun Bank Rakyat Online Terkini.
Situasi 2 Ah Meng menemani abangnya ke bank untuk melakukan urusan pengeluaran wang. Permohonan lawatan oleh sekolah agensi universiti organisasi adalah DIWAJIBKAN mengisi borang permohonan dengan menyertakan surat permohonan yang mengandungi kepala surat rasmi sekolah agensi universiti organisasi. Khamis 6 Mei 2021.
Diiringi oleh ibu bapa saudaranya perjalanan pada 1950 membawa Maria ke Singapura Kuala Lumpur Ipoh dan Pulau Pinang. Dan sebagainya Tahukah kamu. Lawatan suci tidak wajib untuk seseorang yang menjalani kehidupan yang alim dan suci.
Masa lawatan ialah 45 minit dan dibenarkan untuk lima 5 orang sahaja. Sila Masukkan No kad Pengenalan Passport dan Klik Butang semak. Contoh esei Badrul Hisham bin Badrul Hafiz Presiden Majlis Perwakilan.
Februari 2012 Mulakan menulis surat dengan bertanyakan khabar dan menceritakan keadaan kesihatan penulis. Mar 15 2014 A. 37 Penilaian Melalui Rekod-rekod Peribadi Rekod peribadi kanak-kanak mengandungi maklumat diri keluarga dan fizikal murid.
Pas Lawatan Sosial PLS tidak sah untuk pekerjaan di negeri Sabah. Salinan Kad PengenalanSalinan Identiti Pengenalan Syarikat. Suami atau isteri asing kepada warganegara Malaysia boleh diberi kemudahan Pas Lawatan Sosial jangka panjang untuk tempoh lima 5 tahun sekiranya mereka memenuhi syarat-syarat permohonan.
Kanak-kanak dibawah umur 10 tahun tidak termasuk dalam bilangan pelawat. 1 Lawatan Pemeriksaan 5 7. Lanjutan boleh diberikan berdasarkan kepada kelayakan dan memenuhi syarat-syarat seperti yang telah ditetapkan.
Jadi utk anak2 pertama dan kedua mereka perlu memilih untuk bersama siapa. Kategori Pelancong Individu yang telah lengkap divaksin. Menggunakan khidmat Agensi Pelancongan Berlesen dan dikecualikan surat kebenaran PDRM.
Manakala anak2 yang sudah mumayyiz berhak memilih untuk bersama ibu atau bapa mahkamah akan menentukan berdasarkan faktor ini dan lain2 faktor yang berkaitan dengan kebajikan anak. Maklumlah anak aku pon PR kuat. Tulis surat itu selengkapnya.
Ibu Pejabat SPRM No. PBS DSKP KSSR. Bagi permohonan lawatan oleh individu adalah TIDAK diwajibkan untuk melampirkan surat permohonan.
Adalah dimaklumkan sekolah kami berhasrat untuk mengadakan lawatan. Sewaktu di Malaya dan Singapura rusuhan Maria Hertogh berlaku. Mengulas lanjut Zaini berkata dakwaan jangkitan berkenaan tidak benar memandangkan pihaknya masih belum ada keputusan sebenar varian yang melibatkan sampel.
Negara yang memaklumkan pemilihan Aiman sebagai c Kasih sayang ibu bapa terhadap anak-anak. 17 tahun yang memberikan berbagai-bagai alasan untuk tidak b Tanggungjawab ibu bapa untuk menentukan keberkesanan menyertai Program Latihan Khidmat Negara PLKN. Namun dia akan dapat meningkatkan tahap kerohaniannya dengan melakukan lawatan suci.
Manakala anak bongsu yang masih di bawah umur 7 tahun kebiasaannya akan diberi kepada ibu. Temu janji awal untuk lawatan ke rumah perlu dibuat dengan ibu bapa dan penjaga kanak-kanak supaya tidak menimbulkan masalah kepada kedua-dua pihak.
Surat Kebenaran Lawatan Ibubapa Pdf
Surat Kebenaran Ibu Bapa Untuk Lawatan Pdf
Lawatan Ke Kilang Batik Surat Kebenaran Ibu Bapa
Surat Kebenaran Ibu Bapa Petrosains Pdf
Surat Kebenaran Ibu Bapa Untuk Lawatan Englshmila
Surat Kebenaran Ibu Bapa Ke Luar Negara Pdf
Doc Surat Kebenaran Lawatan Tldm Zatil Aqmar Mohammad Academia Edu
Surat Kebenaran Ibu Bapa Untuk Lawatan Englshmila
Doc Contoh Surat Kebenaran Ibu Bapa Dol Juan Academia Edu
Surat Kebenaran Ibu Bapa Kpm Letter 7saudara Com
Contoh Surat Kebenaran Penjaga Untuk Lawatan
Surat Kebenaran Ibu Bapa Untuk Lawatan Englshmina
Contoh Surat Kebenaran Contoh Resume
Surat Kebenaran Ibu Bapa Lawatan Sambil Belajar Pdf

